100%
시험 미리보기
※ 창 좌우폭을 줄이시면 모바일 사이즈 응답창을 보실 수 있습니다
※ 문항 무작위화는 미리보기 화면에서 제공되지 않습니다.

해당 시험의 출처는 인사혁신처 사이버국가 고시 센터(https://www.gosi.kr/)에 있습니다.

사용 시 출처를 꼭 표기해주시기 바랍니다.

1

연속랜덤변수 의 확률밀도함수(probability density function)가 일때, 는? (단, 는 랜덤변수의 기댓값이다)​​​​​​​

2

에너지 신호와 전력 신호에 대한 설명으로 옳지 않은 것은?

3

아날로그 변조의 대표적 방식인 진폭 변조에 대한 설명으로 옳지 않은 것은?

4

각각의 그림과 설명이 나타내는 다중접속방식을 바르게 나열한 것은?

4.PNG

5

가 구간 [0, a]에서 균일 확률밀도함수(uniform probability density function)를 갖는 연속랜덤변수일 때, 평균 와 분산 는? (단, a > 0 이다)

6

신호 의 푸리에 변환 ​​​​​​​가 그림과 같을 때, 신호 의 에너지[joule]는?

6.PNG

7

4개의 신호 가 각각 1/2, 1/4, 1/6, 1/12의 확률로 발생하는 정보원이 있다. 각 신호들이 통계적으로 독립일 때, 정보원의 엔트로피(entropy)는? (단, ​​​​​​​로 계산한다)

8

오류정정부호(error control code)에 해당하지 않는 것은?

9

그림과 같은 이진 대칭 채널(binary symmetric channel)에서 정보원 의 0과 1의 발생확률은 각각 이고, 교차확률은  이다. 이러한 채널에서 이 수신되었을 때, 일 확률 는? (단, ​​​​​​​ 이다)

9.PNG

10

터보 코드(turbo code)에 대한 설명으로 옳지 않은 것은?

11

정현파 메시지 신호 를 반송파 로 양측파대 억압 반송파 변조(DSB-SC)를 하였다. 변조된 신호의 상측파대(USB)와 하측파대(LSB) 주파수의 양(+)의 값을 각각 라고 하고 차이 값(|  -  |)이 200[Hz]일 때, 메시지 신호 는?




12

단위 임펄스 함수 에 대한 설명으로 옳지 않은 것은?

13

진폭이 작은 신호에 대해 양자화(quantization) 잡음을 줄이는 방법으로 옳지 않은 것은?

14

12 [Mbits]의 이미지 파일을 64-QAM으로 변조하여 1 [Msymbols/s]의 심볼률로 전송할 때, 이미지 파일을 모두 전송하는 데 걸리는 시간[s]은?

15

다음 그림의 변조기에서 입력신호가 일 때, 변조지수 과 전력효율 [%]는? (단, 이다)

15.PNG

16

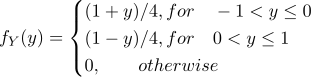
두 개의 신호 를 각각 데이터 비트 0, 1에 대응시켜 전송할 때, 발생할 확률이 0.5로 동일하다. 잡음이 없는 경우 를 전송하면 수신 신호는 이고, 를 전송하면 이 된다. 잡음이 있는 경우 수신 신호를 와 같이 표현하고, 필터 출력 가 0보다 큰 경우와 작은 경우를 각각 수신된 데이터 비트 1과 0으로 판정할 때, 비트 오류 확률은? (단, 잡음 성분 는 다음과 같은 의 조건부 균일 확률밀도함수(uniform probability density function)를 만들어 내는 랜덤변수이다)

16.PNG

17

디지털 통신의 비트율과 심볼률에 대한 설명으로 옳지 않은 것은?

18

코드분할 다중접속(CDMA) 시스템의 특징으로 옳지 않은 것은?

19

그림과 같은 주기 신호  변조기에 입력될 때, 변조된 신호 의 최대 주파수 편이는?

19.PNG

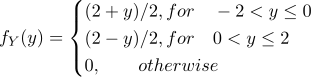
20

는 송신기에서 전송되는 값이며, 은 전송 채널에서 발생하는 가산성잡음이다. 이때, 은서로독립이며, 각각의 범위에서 균일 확률밀도함수(uniform probability density function)를 갖는 연속랜덤변수이다. 수신기에서 수신되는 신호가 일 때, 의 확률밀도함수는?

다른 브라우저를 사용해 보세요.

현재 접속하신 브라우저는 지원하지 않는 브라우저입니다. 아래 브라우저의 최신 버전을 이용해 주시기 바랍니다.
아래의 아이콘을 클릭하면 해당 브라우저의 설치 화면으로 이동합니다.